2019胡润百富榜发布 马云第三次成中国首富!完整胡润百富榜榜单一览附全文内容
2019胡润百富榜新鲜出炉了!相信大家都非常好奇2019胡润百富榜上榜富豪有哪些,他们都分布在什么行业呢,下面一起来了解一下2019胡润百富榜榜单全文及相关分析。
10月10日上午消息,胡润研究院发布2019胡润百富榜。今年是胡润研究院自1999年以来连续第21次发布“胡润百富榜”,上榜门槛连续第七年保持20亿元。上榜企业家财富计算的截止日期为今年8月15日。
胡润百富董事长兼首席调研员胡润表示:“连续21年记录中国企业和财富发展趋势,不仅对中国企业意义深远,对‘胡润百富’同样意义非凡。《胡润百富榜》每一年都在前一年的基础上继续精进,而每一年又是新的起点,会看到很多创新商业模式和新的上榜企业家涌现。他们共同的优点都是能够精准前瞻未来,且对用户保持悉心关怀,而这种理念与我们连续两年携手的合作伙伴LEXUS雷克萨斯有异曲同工之处,洞察客户所需,秉承以至诚之心的待客之道,呈现更富激情与质感的豪华生活方式。”
马云以2750亿财富第三次成为中国首富,马化腾财富上涨200亿,以2600亿重返第二,地产商许家印财富缩水400亿,以2100亿退居第三。
拼多多黄峥成为首位进入前十的白手起家80后,财富一天涨一个亿,过去一年涨了400亿,以1350亿位列第七。华为任正非财富上涨24%,以210亿元位列榜单第162位。
IT行业人数占比从去年10.3%增至11.7%,超越金融投资行业,成为上榜企业家的第三大财富来源;制造业人数占比从去年26.1%降至24.5%,但仍是上榜企业家最主要财富来源。
独角兽企业贡献了52位上榜者,覆盖商汤科技代表的人工智能、大疆代表的机器人、比特大陆代表的区块链、优客工场代表的共享经济和小鹏汽车代表的新能源汽车等行业。
胡润表示:“值得关注的是,我们百富榜上的企业家早就已经达到财富自由,财富自由门槛是在一个多亿。我们榜单上这些企业家的财富数字更多的是代表着他们为企业、为员工和为中国经济所创造的价值。”

以下为榜单全文:
55岁刚刚退休的马云今年以2750亿元的财富第三次成为中国首富。截至今年9月,阿里巴巴市值3.3万亿人民币。2019年财年,阿里巴巴实现收入近4000亿元,同比增长51%。阿里今年继续大量收购并购,比如:9月,以140亿元的价格收购网易旗下跨境电商平台考拉并领投网易云音乐;7月,以近50亿元的价格收购申通快递大股东德殷控股持有的德殷德润49%股权。阿里新掌门人48岁的张勇以46亿元财富位列榜单前1000名。
48岁的马化腾以2600亿元排名第二。腾讯今年上半年实现总收入接近1800亿元,同比增长18%。截至今年9月,腾讯市值达到3万亿人民币,是中国市值第二大的公司。自2008年起,腾讯累计投资的700家企业中超过60家已经成功上市,其中最近一年上市的有斗鱼、富途证券等。最近马化腾表示,腾讯的西部云计算数据中心,投资将超百亿元人民币。腾讯联合创始人张志东今年以1050亿财富位列榜单第13位。
61岁的许家印两年财富缩水800亿,以2100亿元排名第三。今年9月,恒大获得世界顶级新能源汽车3.0底盘架构知识产权。恒大今年上半年实现营业收入2270亿元。今年1月,恒大健康以63亿人民币的价格成功收购总部位于瑞典的全球性电动汽车公司NEVS的51%股权。
77岁的何享健及其儿子何剑锋以1800亿元排名第四,这是何享健在胡润百富榜上的历史最高排名。美的集团今年上半年实现营业收入1538亿元,同比增长8%,这家家电巨头的增长步伐依旧强劲。
伴随着翰森制药于今年6月在港交所上市,孙飘扬、钟慧娟夫妇坐拥两家上市公司以1750亿财富一举进入前十,排名第五,比去年上升15位。今年上半年翰森制药实现销售收入46亿元,较上年同期增长122%。恒瑞医药上半年实现营业收入100亿元,同比增长29%。胡润表示:“孙飘扬、钟慧娟夫妇创造了一个世界第一,夫妻两人都创立了规模可观的独立企业。”
38岁的杨惠妍及其家族以1750亿元排名第五。今年年初,碧桂园明确地产、机器人、现代农业是其未来三大重点业务。今年上半年碧桂园实现总收入2020亿元,同比增长53%。
39岁的黄峥以1350亿财富位列第七。成立4年的拼多多市值超过2900亿人民币。截至今年6月底的12个月期间,拼多多年活跃买家达4.8亿,同比增长41%。
48岁的丁磊以1250亿元排名第八。网易今年第二季度净收入为188亿元,同比增加15%。
65岁的王健林及其家族今年以1200亿元财富位列第九。卖掉文旅城和酒店之后,万达目前主要业务和资产是万达广场,海外物业几乎全数出售。今年,万达集团计划收入2326亿元。今年上半年,万达在四川、沈阳、潮州、兰州和天津宣布投资项目,总预计投资额超过2550亿元。旗下万达体育于今年7月登陆美国纳斯达克。
太平洋建设33岁的严昊以1200亿排名第九,财富和去年持平。今年太平洋建设以近6100亿的年销售额连续四年进入世界500强前100名,这也是太平洋建设连续第六年登上世界500强。过去几年,太平洋建设重点布局一带一路沿线地区,在广西、新疆、东南亚及西亚地区投资建设基础设施工程,总额达数千亿元。
海底捞的张勇、舒萍夫妇今年以1200亿元财富一举跃入前十,排名榜单第九位,财富较去年上涨118%。海底捞去年9月在港交所上市,目前市值突破1700亿元,主要得益于行业龙头效应凸显。去年海底捞餐厅营收超过150亿元,同比增长近60%。去年新增193家餐厅,总数达到466家,其中大陆新增176家,海外增加17家。而其拥有的另一家上市公司颐海国际则主攻火锅调味料和方便速食类产品,去年营业收入27亿,同比增长63%。与此同时,从海底捞物流分拆出来的蜀海供应链也已达到20亿美元的估值。
陈建华、范红卫夫妇财富增长33%,以1050亿排名第13位,比去年上升9位。成立25年以来,恒力以炼油、石化、聚酯新材料和纺织为核心,完成了“从一滴油到一匹布”的全产业链发展。恒力是全球最大的功能性纤维生产基地和织造企业之一。去年集团总营收3717亿元,位列世界500强第181位。
执掌牧原股份的秦英林、钱瑛夫妇以1000亿财富排名第15位,比去年上升55位。今年伊始,受非洲猪瘟疫情与国内猪周期性因素的叠加影响,生猪养殖龙头企业牧原股份股价一路飙升屡创新高。截至8月底,其每股价格最高上探至82.48元,公司市值一度接近1780亿元。今年上半年,牧原股份生猪销售581.5万头,比上年同期增长22.6%。秦英林成为许家印之后,财富最多的河南籍企业家。
56岁的李书福及其家族财富增长11%,以1000亿排名第15位。去年,李书福旗下的香港上市公司吉利汽车全年实现汽车销量超过150万台,较上一个年度增长20%,公司销售额也首次突破千亿。目前吉利汽车市值达到1100亿元人民币。最近,吉利与戴姆勒共同投资了德国城市空中出行公司Volocopter。
行业分析
从上榜企业家的数量上来统计,制造业和房地产行业仍然把持这前两位的交椅,IT今年上榜人数增长明显,超越金融与投资行业排名第三。
制造业 主要包括汽车、船舶、机械等重工业制造,也包括家用电器、家具、塑料、橡胶制品等轻工业制造,自2014年以来,上榜人数最多的始终是制造业,但今年上榜人数占比较去年有所下降,占总上榜人数的24.5%,较去年下降1.6个百分点。来自美的集团的何享健、何剑峰父子是今年榜单中的制造业首富。另外,房地产行业龙头恒大目前也开始涉足制造业,从事新能源汽车的制造。
房地产 上榜人数占比基本与去年持平,去年14.9%,今年14.8%,仍然排在第二位。今年榜单前十位的企业家有三位主业为房地产。
IT行业 今年增长幅度明显,超越金融与投资行业,以11.7%的上榜比例排名第三,较去年上升1.4个百分点。
金融与投资 较去年略微下降0.2个百分点,今年上榜企业家人数占比11.4%,比十年前增加一半多。
医药行业 多年来保持稳步增长,今年上榜人数比例较去年上升0.5个百分点,达到7.6%,是十年前的两倍。同时,今年首次有医药行业的企业家进入榜单前十位,来自恒瑞医药和翰森医药的孙飘扬、钟慧娟夫妇今年以1750亿元的财富数字排名榜单第5位。
社会服务 保持强劲的上涨势头,上榜人数比例由5.1%上升到5.7%,主要是近两年来大批教育行业以及互联网服务行业的企业相继上市,从而使该行业上榜人数急剧增长。
零售、新能源 零售行业和新能源行业今年同样增长迅速,以新能源行业中的锂电池行业为例,继去年7位宁德时代股东登上百富榜后,今年来自杭可科技的曹骥、曹政父子以及容百控股的白厚善也相继登上榜单。
资源、建筑、钢铁 资源、建筑和钢铁行业今年上榜企业家人数下降明显,去年沙钢有8位股东上榜,而今年由于上市公司沙钢股份的复牌股票下跌50%,其中6位上市公司个人股东财富低于20亿未登上今年榜单。

企业总部、企业家出生地、地区首富
今年,总部山东的上榜企业家减少最多,排名前三的广东、北京和浙江也都减少了不少。对比去年,有10位新的地区首富。
北京、上海是“移民”企业家最多的地区,很多出生外地的企业家在北京、上海发展得很好。反之,湖南、湖北、江西、安徽和辽宁出生的企业家,离开家乡在外地发展得很好。

特色事件
重要的IPO 今年独角兽企业的上榜数量较去年有所减少,且主要集中上市地点也由去年的香港转移到了美国,腾讯音乐(市值2000亿人民币)、瑞幸咖啡、斗鱼、富途证券、玖富数科和微贷网等企业在最近一年纷纷登录美国资本市场,而互联网金融独角兽公司拉卡拉则选择在A股上市。港股过去一年较为重要的IPO主要是翰森制药。
大型国际投资与并购
今年2月,丁世忠的安踏联合腾讯、方源资本等机构组成的财团,以400亿人民币的价格成功要约收购芬兰运动品牌Amer Sports。
今年1月,许家印的恒大健康以63亿人民币的价格成功收购总部位于瑞典的全球性电动汽车公司NEVS的51%股权。
今年5月,郭广昌复星旗下基金设立的上海爱夫迪自动化科技公司以47亿人民币的价格收购了德国智能制造企业FFT 100%股权。复星的海外投资之路也并非一帆风顺,其投资的英国旅游巨头Thomas Cook最近宣布倒闭,郭广昌持有该公司18%的股份,价值100多亿人民币。
去年12月,马云的阿里巴巴以34亿人民币的价格收购了新发行的印尼电子商务平台Tokopedia的优先股。在完成投资后,阿里持有Tokopedia约29%的股权。
胡润表示:“与过去几年相比,这一年国内企业出海并购活动出现明显下滑。”
出生境外的上榜企业家
今年胡润研究院连续第二年把出生境外而在中国大陆创业成功的企业家纳入榜单,观澜湖创二代朱鼎健及其家族、融侨第二代掌门人林宏修及其家族等共18位上榜,其中5位非华人,和去年一致,他们分别是:血液制品公司上海莱士的越南人黄凯,在中国主营ONLY、Vero Moda、Selected和Jack Jones四个品牌的绫致时装的丹麦人Dan Friis,致力于新型分子靶向药与肿瘤免疫药研发的百济神州的美国人欧雷强,美容仪公司Foreo的波斯尼亚人Filip Sedic和联合办公领域的裸心集团的南非人Grant Horsfield。

独角兽企业的新一轮融资 今年5月,印奇的旷视科技获得来自阿里巴巴、博裕资本等机构7.5亿美元的D轮融资,并于近期在港交所递交上市申请。去年年底,李勇的猿辅导获得来自腾讯、IDG资本、经纬中国等机构3亿美元的E+轮融资,估值达到30亿美元。杨凌江的1919去年四季度获得阿里巴巴20亿人民币的战略投资,投后估值达到10亿美元。叶国富的名创优品去年四季度获得来自腾讯和高瓴资本10亿人民币的战略投资,投后估值超过20亿美元。胡润表示:“上榜企业家中,38家独角兽企业贡献了52人。”
特色人物
李彦宏、马东敏夫妇今年财富缩水43%,以650亿元排名下降25位至第34名。在李彦宏提出“All in AI”后,百度的AI研发进程却较为缓慢。在广告收入方面,百度的市场份额正在被字节跳动张一鸣等后来者所抢占。今年一季报也录得其上市以来首个季度亏损,净利润同比下降105%。今年以来,百度股价受挫明显,市值缩水超过50%。今年7月,李彦宏在一次演讲中遭泼水而登上新闻热搜。
中公教育的鲁忠芳、李永新母子凭借600亿元财富首次登榜,进入前50,位列第40位。中公教育今年1月成功完成借壳上市,市值突破900亿元。中公教育核心业务为公务员、事业单位和教师等公职类招录考试培训,教学网络遍及国内31个省市自治区,拥有880家直营分部和学习中心,年培训学员超过230万人。其联合创始人王振东也以155亿元财富登上榜单。
46岁的宁夏首富党彦宝以590亿财富位列第44位。今年成功登陆上交所的“大块头”宝丰能源给这位宁夏企业家带来巨额财富收益。今年上半年,宝丰能源营业收入65亿元,同比增长9.7%。
汇顶科技的张帆今年以440亿元排名第59位,财富同比增长151%。汇顶科技是一家指纹识别芯片研发商,主要为手机、平板电脑和可穿戴产品研发企业提供电容触控芯片、指纹识别芯片及相关技术解决方案等。产品和解决方案应用于华为、OPPO、vivo、Google、Amazon、Samsung等品牌。
40岁的王兴凭借400亿财富位列第65名,财富较去年上涨3%。美团点评今年二季度实现营业收入227亿元,同比增长51%。去年美团经调整的亏损净额为85亿元。美团点评的盈利主要得益于新业务及其他收入的亏损减少和外卖业务的持续发力。
49岁的袁征以360亿财富位列第77位。袁征是视频会议软件提供商Zoom的创始人兼CEO。自2011年成立以来,Zoom平台已被用于进行数百亿次的会议记录,客户覆盖三分之一的美国财富500强公司。今年4月,Zoom正式在美国纳斯达克上市。
“职业教育大王”53岁的吴俊保以150亿财富成为新一任安徽首富。东方教育于今年6月在香港成功上市,使得吴氏教育王国财富大幅增长。今年上半年,东方教育和新华教育营收分别为18.2亿元和2.3亿元,同比增长27%和14%。
从神州专车COO离任后华丽转身创办瑞幸咖啡,42岁的钱治亚以57亿元财富首次登榜。瑞幸咖啡2017年成立,9个月成为新晋独角兽。今年5月,瑞幸咖啡成功登陆纳斯达克,目前市值近350亿元。瑞幸咖啡今年二季度总营收超过9亿元,同期增长648%,新增交易用户590万。今年9月,瑞幸咖啡将旗下茶饮品牌小鹿茶分拆独立运营,以便更好的扩大市场。
出生于1991年的陈晓亮是今年192位上榜新人中年龄最小的创业者,2014年他在杭州创办兑吧,旨在为企业提供全面的运营服务。经过5年的发展,目前兑吧合作的企业数量已经超过4万家,覆盖约40个行业。今年5月,兑吧在香港联交所挂牌上市,目前市值超过40亿港币。
有趣点
话语权:拥有话语权的比例较去年有所上升,为7.6%,去年7.5%。上榜企业家中有138位是全国人大代表或全国政协委员,比去年减少4位,其中全国人大代表减少5位至72位,全国政协委员增加1位至66位。
66位全国政协委员中,有6位是全国政协常务委员:许家印、许健康、许荣茂、南存辉、刘长乐和郑跃文。
另有8位全国工商联副主席:张近东、郑跃文、梁稳根、李书福、南存辉、雷军、黄立和李东生;4位十九大党代表:潘刚、李登海、周亚仙和吴少勋。
社交媒体影响力:赵薇和她老公黄有龙财富缩水18%至45亿元,但赵薇仍然是微博最红的上榜企业家,拥有8000多万个新浪微博粉丝。


来源:《2019 LEXUS雷克萨斯·胡润百富榜》
市值最大的公司:阿里巴巴和腾讯是今年榜单上市值最大的公司,都超过3万亿人民币。去年位列前十大市值最大的公司的百度、小米和恒大,今年跌出前十。

上榜人数最多的公司:阿里系仍是上榜人数最多的公司,有13位股东上榜;其次是温氏、和小米,分别有9位股东上榜;再次是海天味业,有8位股东上榜。
隐形富豪
有些企业家将企业做到了很大,但因为复杂的股份结构而未能上榜,但他们同样值得尊敬。
管理层中的股东 由于隐身在职工持股会之后,今年我们依然无法评估海尔的张瑞敏、平安保险的马明哲、华为的孙亚芳的财富。但无法否认的是,以他们为核心的管理团队控制着大量的财富与资源。
徐文荣 不清楚他在横店集团的股份。
吴国迪 埃力生集团董事局主席,不清楚他的股份。
李晓华 不清楚他在华达集团的股份。
邓文迪 和默多克离婚后不清楚拿到多少钱。
类似阿里巴巴、腾讯、中国平安和华为这样的公司,应该有很多员工只要持有公司千分之一到二的股份就能上榜,但从公开渠道无法知晓;有一些比较大的独角兽公司,因为在国外注册,股份情况很难查到;投资界应该也有一些投资者能上榜;文化娱乐界应该也有一些大藏家和明星能上榜;还有一些矿老板应该也能上榜。
胡润表示:“今年我们百富榜上榜人数近2000人,但我们认为每找到一个人,应该还有两个‘漏网之鱼’,因此外面还有4000个人有资格上榜,其中可能10%以内是见光死的‘吸血鬼富豪’。”
企业家做慈善
万向集团接班人,48岁的鲁伟鼎今年以49.6亿捐赠额成为中国首善,目前鲁伟鼎家族以365亿财富位列LEXUS雷克萨斯•胡润百富榜第75位,今年7月,在万向集团成立50周年之际,鲁伟鼎宣布依照父亲鲁冠球的意愿,将万向集团公司截至2018年度审计报告的资产,全部捐赠设立鲁冠球万向事业基金。公益基金的全部收益将用于研发新技术,高端人才教育,开展科技研究,支持设立理工类应用型科研机构。目前相关捐赠工作正在进展过程中。


全球十亿美金华人企业家分布
《2019 LEXUS雷克萨斯·胡润百富榜》上共有621位十亿美金企业家,其中华人企业家有618位,另外3位是非华人。结合今年胡润全球富豪榜综合统计,目前有772位华人企业家财富超过十亿美金,其中68位居住在香港,47位居住在台湾,66位居住在国外,591位居住在中国大陆(除港澳)。胡润表示:“中国人占世界人口的20%,但拥有全球三成的十亿美金企业家,远远超过其他任何国家。”

十年前的前十名,如今在哪里
十年前排名前十的企业家中,还有两位如今仍在前十名之列:杨惠妍家族和王健林,其他大都还在前100名中。

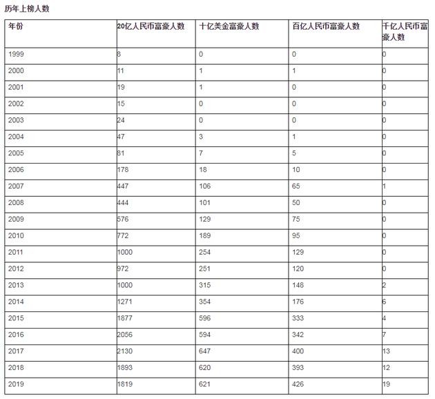
历年上榜人数

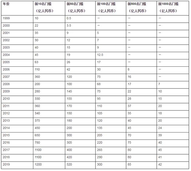
历年上榜门槛

历史数据

胡润百富榜业内评论
财富排位:二马当先跑,许家印还在“等车”
一份中国富豪榜出炉,大家最关心的自然是前十名的状况。

先来说说前三名:与去年相比人倒是没有什么变化,刚退休的马云,还在上班的马化腾,以及61岁到了中国法定退休年龄却没有退休的许家印继续稳居三甲。
但名次上就不同了,今年许家印的财富缩水了400亿,报收2100亿元,落到第三;而马化腾的财富上涨了200亿,以2600亿元重返第二,一上一下,造就了今年中国财富世界“二马当先”的格局。

不过,许老板手里有“车”,未来可期。近年来恒大在“造车”上大笔投入,十一之前还联手了5家全球汽车工程技术龙头共同研发15款车型,只是,就目前来看,这些还暂时还不能帮许家印重夺中国首富之位。主营业务房地产则继续拖后腿,中国恒大的财报数据显示,2019年上半年净利润同比大幅减少49%,几近腰斩。
相较之下,今年阿里巴巴的好消息就没停过。财报显示,今年以来,其营收同比增速仍然保持40%以上,不久前收网易考拉、投网易云音乐间接助力去年跌出前十的丁磊重新回归,再加上造富13人,“阿里经济体”雄起得不行。

而且,马云今年的首富之位还坐得额外“硬气”,9月25日云栖大会上阿里发布第一颗自研芯片含光800是全球最高性能的AI推理芯片,十一期间蚂蚁金服OceanBase数据库性能登顶世界第一的消息则刷爆了社交网络。
腾讯今年则有起有落:起,靠的是游戏恢复景气;落,在于广告收入放缓。最惊喜的,大概是周杰伦新歌给QQ音乐带来的6000万收入,使得会员用户大幅增加,面对鹅厂在娱乐领域的深入,我们只能“说好不哭,笑着付费”。
总的来说,AT创始人的财富稳定来源于AT本身的稳定,护城河这么高,“二马当先”的格局或有微调,但一时间真的很难被大幅超越。
前十的另一个亮点在于三组“新人”:恒瑞医药和翰森制药的孙飘扬、钟慧娟夫妇,海底捞的张勇、舒萍夫妇,以及拼多多的黄峥。
先说这两对夫妻,他们今年绝对不得了,两家今年的财富各自翻了一倍多。海底捞大家都熟悉,去年公司上市后,张勇夫妇就上了2018年的胡润百富榜,今年上半年,海底捞净利润同比增长40.9%,预计全年将开店超300家。

而恒瑞医药和翰森制药或许不如海底捞有名,但在医药界,这对夫妇的江湖地位堪比郭靖黄蓉。孙飘扬掌门的恒瑞医药是A股“药王”,公司近五年毛利率一直保持在80%以上;
产品方面
麻醉药,市占率第一
造影剂,市占率第一
抗肿瘤药,市占率第二
……
而由妻子钟慧娟掌舵的翰森制药,也是个狠角色,电影《我不是药神》里那个天价抗癌药的仿制药,由翰森制药生产后它的价位已经低于印度仿制药。翰森今年6月刚在港交所上市,由此给两口子带来了巨大的财富增长。

至于黄峥,今年财富增长了42%,拼多多上个季度俘获了4000万新用户的心,比阿里同期的增量多了一倍,营收超预期增长了169%,公司亏损显著收窄。此外,最值得标记的是黄峥成为第一位靠白手起家进入前十的80后。
胡润百富榜这两年富豪们的平均年龄都在54岁,65后当道,但如今创新周期和财富增值周期都比过去大幅度缩短,未来年轻创业者入榜的速度也会逐渐加快。比如今年共计11名90后入榜,最年轻的只有27岁,作为非白手起家的二代企业家代表,碧桂园的杨惠妍和太平洋建设的严昊也将家族的生意运作良好,前者投了机器人和现代农业,后者重点在一带一路搞基建,由此,也守住了前十的地位。
除此之外前十榜里还有“老客”,他们是77岁的何享健和何剑锋父子,今年财富同比增值了38%位居第四,这也是他们在胡润百富榜历史上的最高排名。
另一位“老客”是首富王健林,他以1200个小目标位列榜单第九,尽管排名这几年不断下滑,但“瘦身”后的万达安心做房地产,反倒是比过去更令人安心。
行业排位:“制造”财富 or “创造”财富
刚才说的主要是个人和企业,到这个环节我们来盘点下不同行业的造富能力。
论造富能力,2014年碾压了房地产后,迄今为止没人比得过制造业,今年也不例外,制造业批量“制造”富豪。

但值得注意的是,这几年来制造业的造富能力也有所减弱,今年股市表现不错的情况下有266位企业家落榜,他们多集中于传统制造业和房地产行业。房地产造富走衰有一段时间了,但制造业这块值得警惕。倒是IT的造富能力在持续增强,今年超过金融与投资成为第三名。

除了主流行业的浮动外,今年行业造富的一大特色是食品、餐饮表现突出,除了刚才提到的海底捞,河南“养猪大王”牧原股份的秦英林、钱瑛夫妇财富较去年增长了近两倍,股价最高达82.48元/股,在二师兄的助力下,夫妻俩今年身家达1000亿晋升前20。另一个造富能手是“酱油大王”海天味业,截止昨天收盘,海天味业今年涨幅高达61.28%,助力董事长庞康财富增长63%至850亿。
富豪们的财富变化指出了未来的一些趋势,一个方向是财富的马太效应正在显著增强,一方面,百富榜的上榜人数连续两年下滑,从去年到现在,近四成企业家落榜。但另一面,今年榜单上19位富豪的财富上了千亿,比去年增加了7人,是历年最多的一次,前50名的门槛提高了100亿至510亿,富豪们的平均财富达98个亿,而15年前中国首富才只有100个亿,财富向更少数人集中。强者恒强,未来还是第一名的天下。
另一个则是新兴行业崛起,尤其是硬核科技正逐渐成为造富的主力。今年新上榜了192位企业家,其中,独角兽企业贡献了52位,科创板贡献了22位,接近总人数的一半。

趣味盘点
王兴可以更高,但李彦宏还能更低吗?
接下来我们将继续分享一些榜单里一些趣味信息。
1.王兴和李彦宏
十一过后美团市值达5168亿港元,成为继阿里、腾讯之后市值排名第三的中国互联网公司,比榜单统计的多938亿人民币,所以现在王兴的排名怕早已不是65名。王兴还在涨,李彦宏却跌没边了,今年他的财富缩水了43%,以650亿元位列34名,成为退步最大的企业家。
今年以来,百度市值跌去一大半,回头望,昔日AT尤在前,百度可有Plan B?
2.四川怎么了?
百富榜里,还有不少与地域相关的统计,比如,广东和浙江分别诞生了229名和238名企业家,是真正的“造富”原产地;比如,富豪们却最中意在广东、北京、浙江、上海、江苏办公,公司的总部大批量地集中在这五个地区。
不过今年总部在四川的企业表现更抢眼,上榜的46名企业家中有15位是新上榜。去年成都开始打造“总部经济”,真金白银地吸引企业带着总部移民落户,从财富榜上看,实行的效果相当不错。